Profesora del Tec campus León presentó su trabajo en gamificación en conferencia internacional de educación que se verificó en Grecia
Por José Carlos Azuara | Campus León - 30/05/2024 Fotos Cortesía
Read time: 4 mins

Elizabeth Mena, directora de Ingeniería Industrial y de Sistemas en campus León, presentó investigación en aprendizaje basado en juegos que fue reconocida en el IEEE Global Engineering Education Conference (EduCon 2024).

Uno de los proyectos que presentó fue reconocido como Mejor Paper de Investigación en el área de aprendizaje basado en juegos y gamificación.

“Ya que te acepten en este tipo de congresos es increíble, y de ahí, salir premiados es todavía más impresionante”, externó Mena.

El EduCon es un evento dedicado a la investigación educativa alrededor del mundo, relacionada con la Ingeniería. Este año el evento se llevó a cabo en Isla de Cos, Grecia.

“Eso es algo que caracteriza a nuestro campus y a ingeniería, siempre buscamos estar innovando a favor del estudiante”, destacó la profesora Mena.

 

Elizabeth Mena junto al consejero de EduCon. Foto: Cortesía
Elizabeth Mena junto al consejero y participantes de EduCon 2024.  Foto: Cortesía.

 

Reconocimiento al mejor paper de investigación

Elizabeth Mena en conjunto con los profesores Alejandro Martínez, Rodolfo Mendoza, Javier Villanueva y el alumno Jorge Arturo Ruelas, investigaron el impacto de implementar gamificación en el aula.

La técnica de aprendizaje de gamificación se basa en trasladar la mecánica de los juegos al ámbito educativo, este con el fin de conseguir mejores resultados, desarrollar habilidades o recompensar acciones concretas.

“Somos profesores que toda la vida hemos intentado buscar estrategias para que ustedes aprendan mejor”, externó Elizabeth Mena.

Dicha técnica se ha implementado desde hace un largo tiempo en campus León, Mena comenta que desde el 2016 se ha hablado de la implementación de gamificación en Edutrends.

 

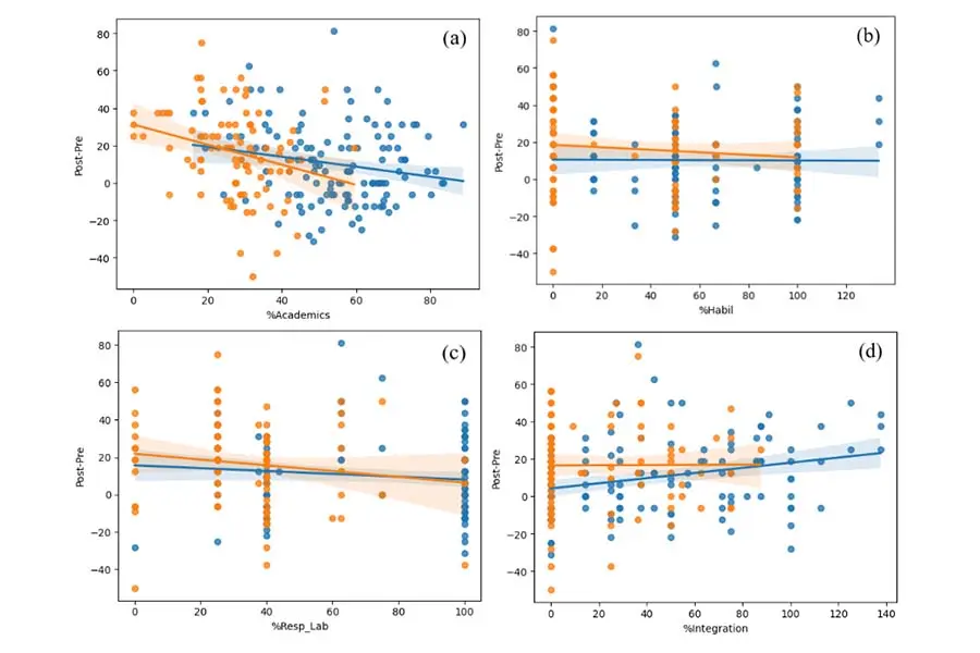
Gráficos de los resultados del impacto de gamificación en diferentes áreas
Gráficos de los resultados del impacto de gamificación. Los datos en amarillo representan los alumnos que hicieron menos actividades de ramificación, en azul los que hicieron más.

 

A diferencia de preparatoria, explicó Elizabeth, a nivel universitario ya no hay motivación cuando hay una narrativa o storytelling detrás de la gamificación.

“No en todas las áreas del conocimiento funciona igual, las que presentan el mayor impacto son las que son relacionadas a estadística”, explicó la profesora.

De acuerdo con el estudio, las actividades con mayor impacto en la calificación son las integradoras como conciertos, partidos de volley y viajes de prácticas. Todo relacionado a entender ciertos temas vistos en las aulas.

 

Reconocimiento al mejor paper de investigación en la categoría de Gamificación y Juegos Serios
Reconocimiento al mejor paper de investigación en la categoría de Gamificación y Juegos Serios. Foto: Cortesía

 

Programación y mujeres en STEAM

Otro trabajo que Elizabeth presentó en el EduCon fue un paper relacionado con la dinámica del evento Exploradoras de Código, realizado en colaboración con: Nancy Pacheco, Giovanna Romero y Claudia Camacho.

Exploradoras de Código, es un proyecto en colaboración con la fundación CoderBloom, misma que busca acercar a mujeres de prepa y secundaria al mundo de la programación.

Este proyecto, además de ser un trabajo relacionado a la ingeniería, está relacionado con las ODS, buscando reducir la brecha tecnológica y de género.

“Como equipo de profesores estamos queriendo buscar lo mejor para ustedes”, afirmó Elizabeth Mena.

 

 

Siempre buscamos estar innovando a favor del estudiante" .- Elizabeth Mena

 

 

Gamificación en el aprendizaje de todos los niveles

En octubre del 2023, Mena junto a Miguel Bárcenas, Claudia Camacho, y Arturo Reyes, presentaron en el World Engineering Education Forum en campus Monterrey, su investigación de cómo el arte puede aportar a la toma de decisiones en ingeniería.

Este consistía en poner a los alumnos a construir una estructura sonora. Por la parte artística debía tener un sonido agradable, y ser estética; por el lado de ingeniería debía ser autónoma y funcionar en base al movimiento circular uniforme.

Otro proyecto de gamificación realizado por Mena consistió en implementarla en niveles de posgrados y educación continua para aprender la metodología lean en los procesos.

Los resultados de esta implementación los presentará para el Anual International Conference on Education and New Learning Technologies, en Palma de Mallorca.

“A un adulto estresado le gusta tener la capacitación lo más ágil posible, para que lo pueda retener y transmitir a sus colaboradores”, comentó Elizabeth Mena.

 

 

LEER MÁS:

 

Seleccionar notas relacionadas automáticamente
0
Campus:
Categoría: